in addition to proper operation, you must make planned maintenance, including routine maintenance checks, minor repair, medium repair and overhaul.
(1) Minor repair: The main contents include that inspect and repair adjustment device and high-speed discharge opening clearance, u-turn or change the worn lining board. Examine and repair transmission parts, lubrication systems, change oil and others. The cycle of minor repair is 1-3 months or so.
(2) Medium repair: In addition to all the minor repair work, it also includes replacing the thrust plate and lining board, checking and repairing the complex bearing. The cycle of medium repair is generally 1-2 years.
(3) Overhaul: In addition to all the medium repair work, it also includes replacing turning partiality axis and dynamic jaw heart axis, casting the babbitt of the upper rod head, replacing or repairing the worn parts. The cycle of overhaul is generally 5 years or so.
The jaw Crusher of Huahong MIning Machinery Equipment CO.,LTD is adopted the world’s most advanced crushing and manufacturing technology, it is of high crushing radio, large capacity, well-distributed final product size, simple structure, reliable performance, easy to maintain, lower operation cost, etc. It is widely used in mining, metallurgy, construction, highway, railroad, water conservancy and chemical industry, etc
The pictures of the jaw crusher:




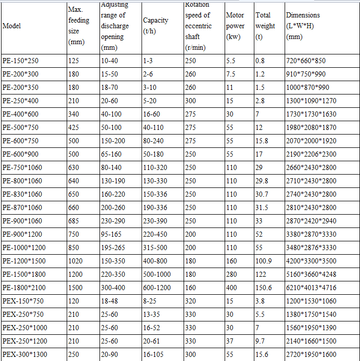
The main parameter of the jaw cursher:

The working principe of the jaw crusher:
The working manner of this series crushing machine is dynamic extrusion type, and its working principle goes like this: the electro motor drives the belt and belt wheel to make the movable jaw to move up and down through the eccentric shaft, and then movable jaw goes up, the angle between the toggle pate and the movable jaw is bigger, thus pushing the movable jaw to get close to the fixed jaw, and at the same time, the materials are crushed or smashed, thus reaching the goal of crushing; when the movable jaw goes down, the angle between the toggle pate and the movable jaw is smaller, under the effect of the draw bar and the spring, the movable jaw moves always from the fixed jaw, and then the crushed materials will be discharged out from the lower mouth of the crushing chamber. With the continuous rotation of the electro motor, the movable jaw of the crusher will do periodic motion to crush and discharge the materials, thus realizing mass production.


Service Promise:
Before-sale services: We guide customers to choose the best appliable device type and provide the advanced, energy-saving and practical technological process, and also we are responsible for the site planning and design.
On-sale services: Products must be inspected strictly before sell, customers are invited to simulate and test machine on-the-spot and raise objections. We will organize delivery according to the clauses stipulated in the contract.
After-sale services: Our company will send professional engineers to guide installation, debugging and training operators until customers are fully satisfied. Moreover, we can design and manufacture products according to customers' specific requirement.
Note: If you are intereted in the jaw crusher, plases submit you requirements to us, we will contact you in two hours.we can manufature machine according your special requirements.Welcome to our company to know more about us.
Hotline: 0086-371-67898087